• Предмет: Математика
  • Автор: janelc03
  • Вопрос задан 10 лет назад

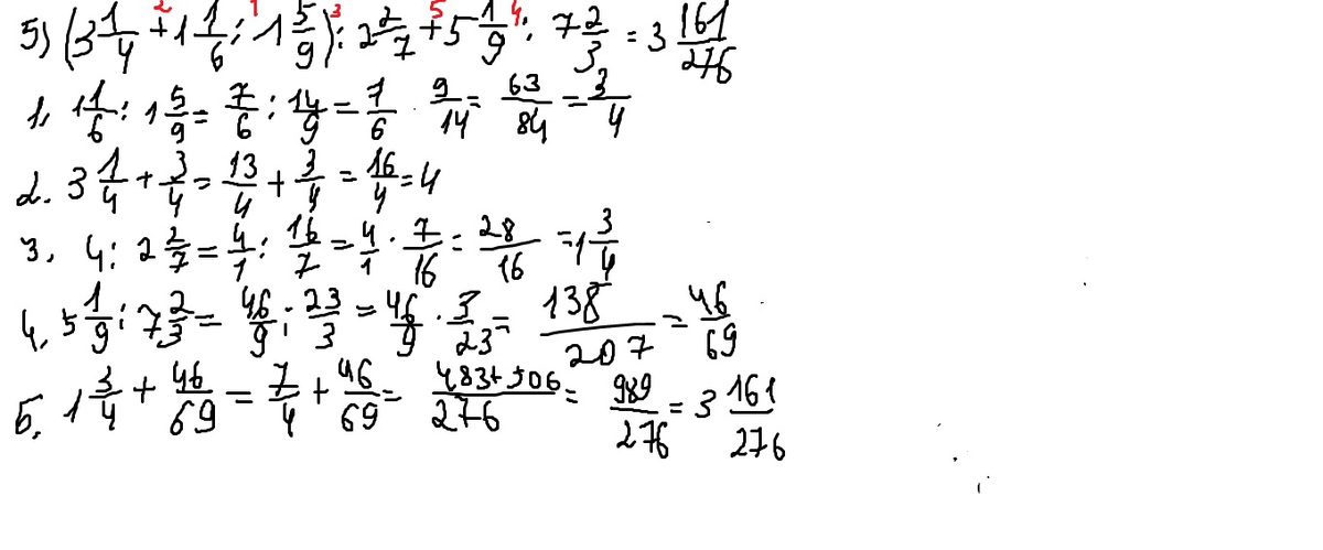
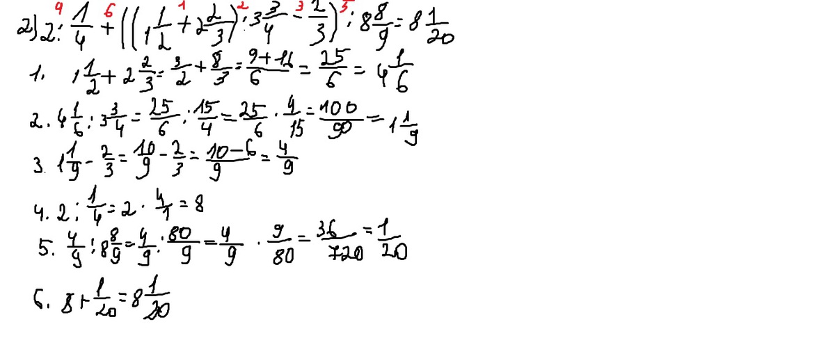
упрожнение 820 (2,5)пример

Приложения:

Ответы

Ответ дал: Pelageya
0
Решения и ответы прикреплены.
Приложения:
Вас заинтересует