Помогите пожалуйста решить уравнение методом введения новой переменной и приведению к квадратному уравнению
Приложения:

Ответы
Ответ дал:
0
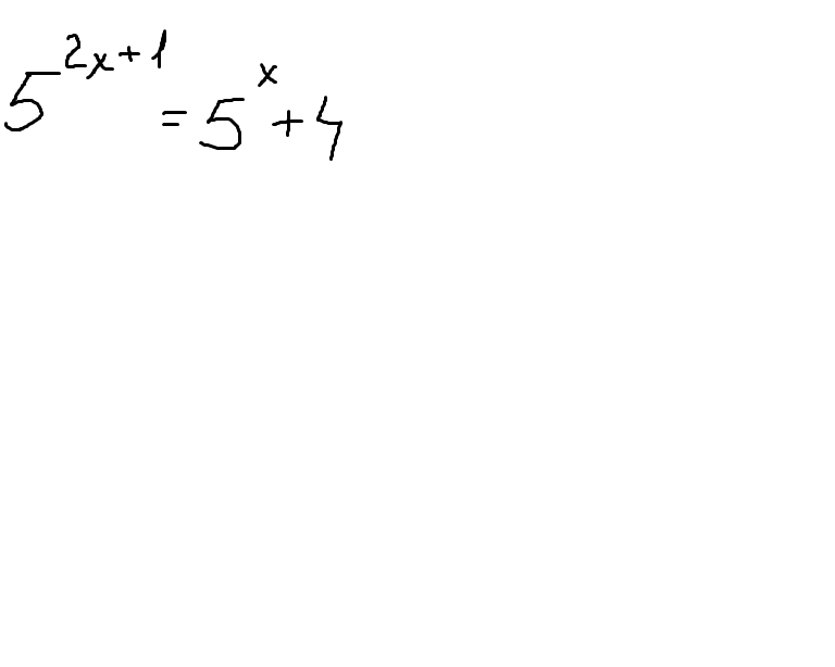
5^2х*5 -5^х-4=0
5^х=у
5у^2-5у-4=0
D=81, у1=1, у2=-4/5, 5^x=1, 1=5^0, 5^x=5^0, х=0
5^x=-4/5- решений нет
Ответ: х=0
Ответ дал:
0
а почему мы пишем 5^2х*5? Откуда появилась пятерка и куда делась однерка? Объясните, пожалуйста
Ответ дал:
0
При умножении показатели степеней складываются, поэтому, 5^2x+1=5^2x*5^1
Вас заинтересует
2 года назад
2 года назад
7 лет назад
10 лет назад