• Предмет: Химия
  • Автор: Danechka0001
  • Вопрос задан 11 лет назад

СРОЧНО ОЧЕНЬ....


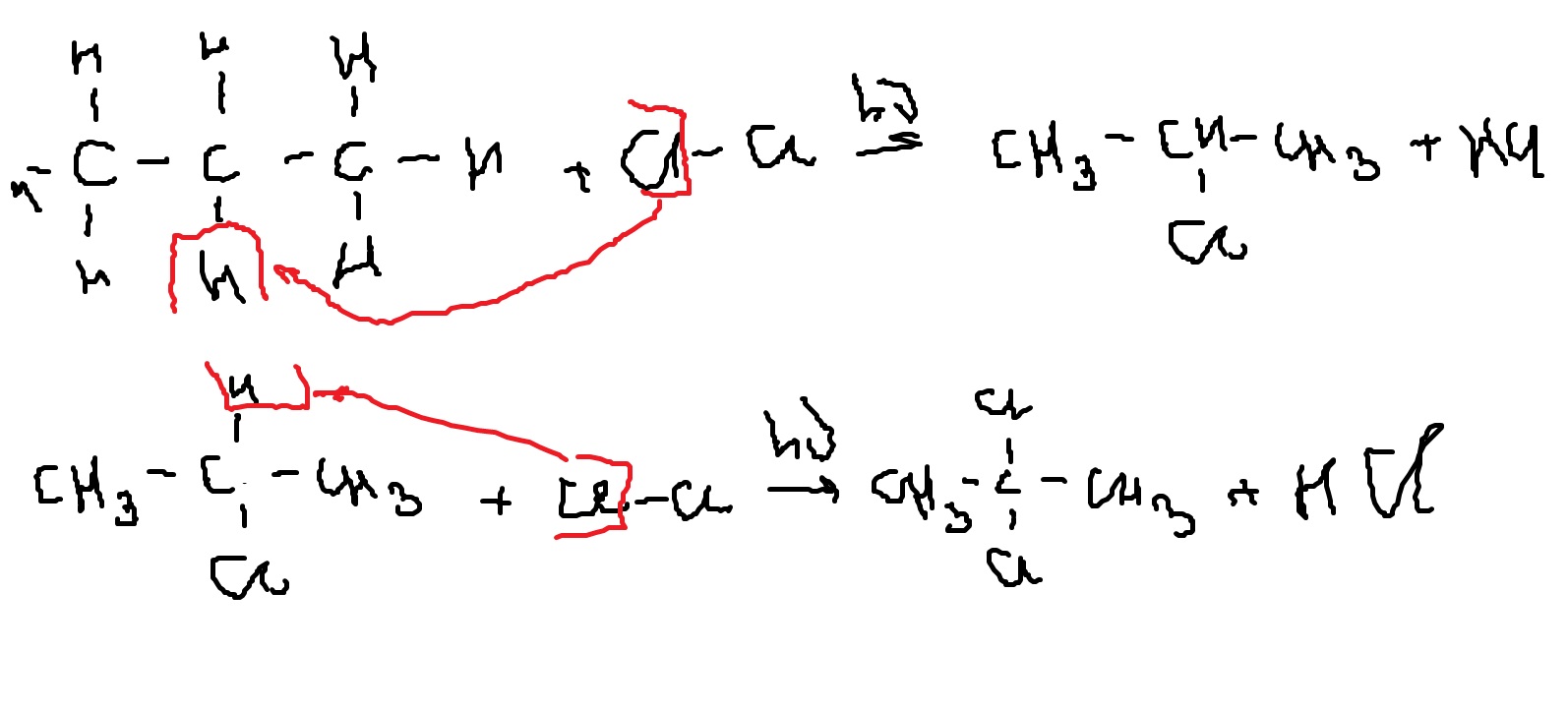
Составьте уравнение двух-трех реакций последовательного хлорирования пропана

Ответы

Ответ дал: msshedwan
0

Извиняюсь за корявый почерк, это все же пэйнт

Приложения:
Вас заинтересует