• Предмет: Алгебра
  • Автор: aloloy
  • Вопрос задан 10 лет назад

Задания с логарифмами

Приложения:

Ответы

Ответ дал: Artem112
0
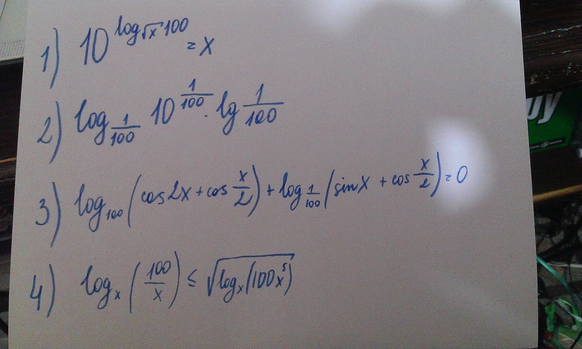
10^{log_ {sqrt{x}}100 }=x
ОДЗ:
 left { {{x>0} atop {x neq 1} right.
10^{log_ {sqrt{x}}100 }=x
\
log_ {sqrt{x}}10^2 =lg x
\
2log_ {sqrt{x}}10 =lg x
\
4log_ {x}10 =lg x
\
 frac{4}{lg x} =lg x
\
lg ^2x=4
\
lg x=pm2
\
x_1=10^2=100
\
x_2=10^{-2}=0,01
Ответ: 100 и 0,01

log_ frac{1}{100} 10^{ frac{1}{100} }lg frac{1}{100} =
log_ {10^{-2}}10^{10^{-2}}lg10^{-2} =
\
=10^{-2}log_ {10^{-2}}10log_{10}10^{-2} =10^{-2}=0,01

log_{100}(cos2x+cos frac{x}{2} )+log_{ frac{1}{100} }(sin x+cos frac{x}{2} )=0
\
log_{100} (cos2x+cos frac{x}{2} )-log_{100}(sin x+cos frac{x}{2} )=0
\
log_{100} frac{cos2x+cos frac{x}{2}}{sin x+cos frac{x}{2}}=0
\
frac{cos2x+cos frac{x}{2}}{sin x+cos frac{x}{2}}=1
\
cos2x+cos frac{x}{2}=sin x+cos frac{x}{2}}
\
cos2x=sin x
\
1-2sin^2x=sin x
\
2sin^2 x+sin x-1=0
\
D=1+8=9
sin x= frac{-1-3}{4} =-1 
\
x=frac{3 pi }{2}+2 pi n,  nin Z
\
sin x=frac{-1+3}{4} = frac{1}{2}
\
x= frac{ pi }{6} +2 pi k,  kin Z
\
x= frac{5 pi }{6} +2 pi l,  lin Z
Однако при подстановке корней из первой серии первый логарифм не имеет смысла:
cos (2cdot frac{3 pi }{2} )+cos frac{3 pi }{4} =-1- frac{2}{2} <0
При подстановке корней из второй серии при нечетных k не имеет смысла второй логарифм:
sin frac{13 pi }{6} +cos frac{13 pi }{12}=sin frac{ pi }{6} -cos frac{ pi }{12}=frac{1 }{2} -cos frac{ pi }{12}<0
Ответ:   frac{ pi }{6} +4 pi m и  frac{5 pi }{6} +2 pi l, где m и l - целые числа.

log_x( frac{100}{x} )< sqrt{log_x(100x^5)}
ОДЗ:
log_x(100x^5) geq 0 \ log_x10^2+log_xx^5 geq 0 \ 2log_x10+5 geq 0 \ frac{2}{lg x} +5 geq 0 \ frac{2+5lg x}{lg x} geq 0 \ lg x leq -frac{2}{5} :  x leq 10^{-0,4} \ lg x >0:  x>1 \ 
xin(0;10^{-0.4}]cup(1;+infty)
Решаем:
log_x( frac{100}{x} )< sqrt{log_x(100x^5)} 
\
log_x100-log_xx< sqrt{log_x100+log_xx^5} 
\
log_x100-1< sqrt{log_x100+5} 
\
(log_x100-1)^2<log_x100+5
\
log_x^2100-2log_x100+1<log_x100+5
\
log_x^2100-3log_x100-4<0
\
<log_x100=log_x10^2=2log_x10= frac{2}{lg10} >
\
( frac{2}{lg10})^2-3cdot frac{2}{lg10}-4<0
\
D=3^2+4cdot4=25
\
frac{2}{lg10}= frac{3+5}{2} =4
\
frac{2}{lg10}= frac{3-5}{2} =-1
1)
frac{2}{lg10} geq -1 \ frac{2+lg x}{lg x} geq 0 \ lg x=-2:  x=10^{-2}=0,01 \ lg x=0:  x=10^0=1 \ xin(-infty;0,01]cup[1;+infty)
2)
frac{2}{lg10}  leq 4 \ frac{2-4lg x}{lg x} geq 0 \ lg x= frac{1}{2} :  x= sqrt{10}  \ lg x=0:  x=10^0=1 \ xin(-infty; 1]cup[ sqrt{10} ;+infty)
Объединяем 1) и 2):
xin(-infty;0.01]cup(1)cup[ sqrt{10} ;+infty)
Так как при решении мы возвели в квадрат обе части, то возможно мы потеряли серию решений - если левая часть отрицательно, то при допуститом ОДЗ неравенство выполняется. Найдем все значения х, при которых левая часть отрицаьтельная и добавим их к полученным ренее решениям.
log_x frac{100}{x} <0
\
log_x100-log_xx <0
\
log_x10^2-1<0
\
2log_x10-1<0
\
 frac{2-lg x}{lg x} <0
\
 frac{lg x-2}{lg x} >0
\
lg x=0:  x=10^0=1
\
lg x=2:  x=10^2=100
\
xin(-infty; 1)cup(100;+infty)
Объединяя полученные ранее решения и учитывая ОДЗ, получим:

xin (0;10^{-0.4})cup[ sqrt{10} ;+infty)
Ответ: xin (0;10^{-0.4})cup[ sqrt{10} ;+infty)
Вас заинтересует