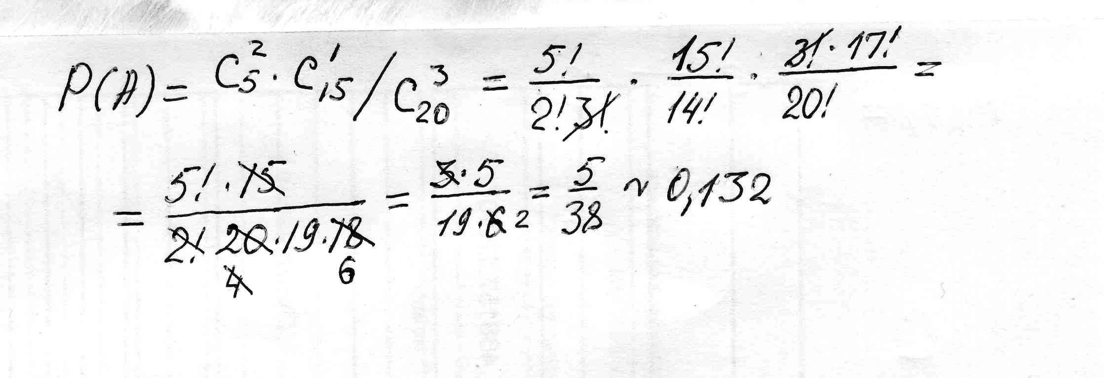
в партии из 20 изделий 5 изделий имеют скрытый дефект. Какова вероятность того, что из взятых наугад 3 изделий 2 изделия являются дефуктными?
Ответы
Ответ дал:
4
Имеем неупорядоченную выборку без повторений. Искомая вероятность равна отношению числа благоприятных исходов к общему числу исходов.
P=0,132
Приложения:
Вас заинтересует
2 года назад
2 года назад
8 лет назад
8 лет назад
9 лет назад
9 лет назад