Ответы
Ответ дал:
0
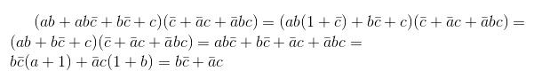
Решение во вложении.....
Приложения:
Вас заинтересует
3 года назад
3 года назад
8 лет назад
10 лет назад
10 лет назад
11 лет назад