Ответы
Ответ дал:
0
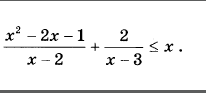
Выделим в первой дроби целую часть (можно и не выделять, но тогда придется писать немного больше)
(x^2 - 2x - 1) / (x - 2) = (x(x - 2) - 1)/(x - 2) = x - 1/(x - 2)
x радостно самоуничтожается.
2 / (x - 3) - 1 / (x - 2) <= 0
[2(x - 2) - (x - 3)]/[(x - 3)(x - 2)] <= 0
(x - 1) / [(x - 3)(x - 2)] <= 0
Дальше метод интервалов.
Ответ. (-∞, 1] U (2, 3)
(x^2 - 2x - 1) / (x - 2) = (x(x - 2) - 1)/(x - 2) = x - 1/(x - 2)
x радостно самоуничтожается.
2 / (x - 3) - 1 / (x - 2) <= 0
[2(x - 2) - (x - 3)]/[(x - 3)(x - 2)] <= 0
(x - 1) / [(x - 3)(x - 2)] <= 0
Дальше метод интервалов.
Ответ. (-∞, 1] U (2, 3)
Вас заинтересует
3 года назад
3 года назад
8 лет назад
10 лет назад
11 лет назад