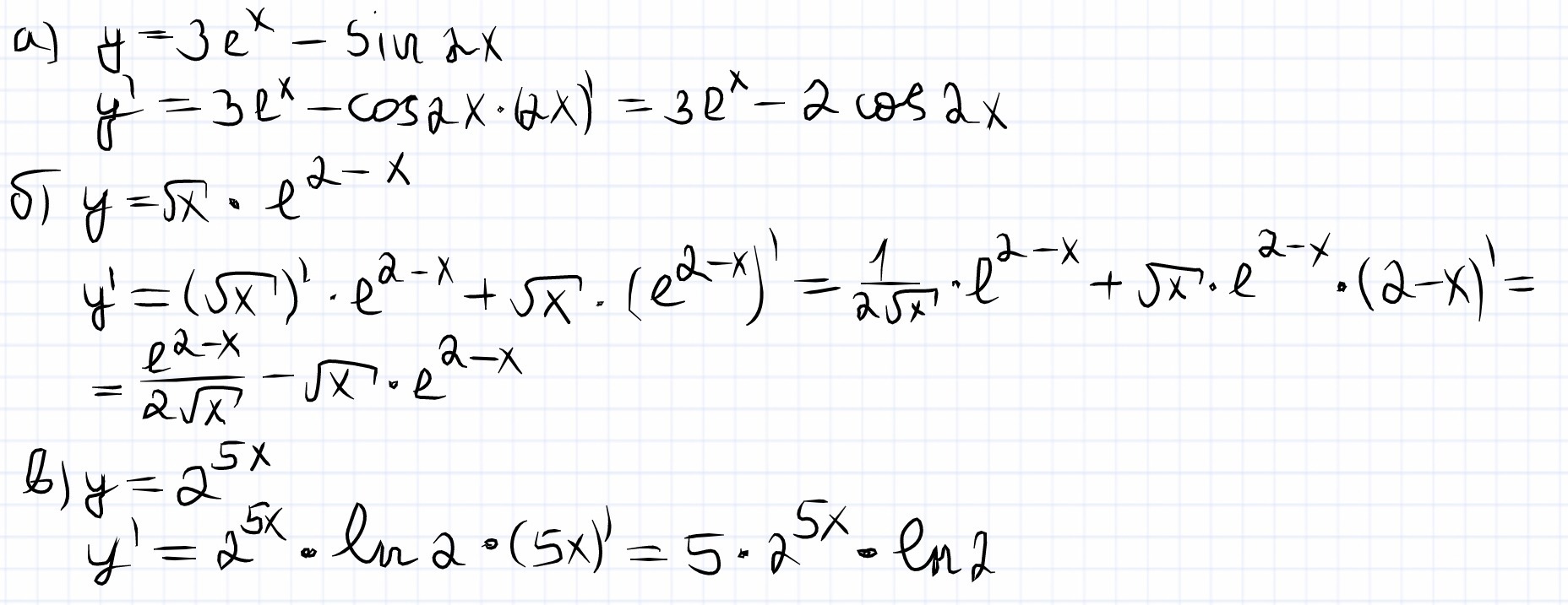
а) y = 3e^x - sin 2x б) y = корень из x * e^2-x (не под корнем) в) y = 2^5x найти производную этих функций
Ответы
Ответ дал:
0
Решение во вложении.
Приложения:

Вас заинтересует
2 года назад
7 лет назад
10 лет назад
10 лет назад