• Предмет: Математика
  • Автор: aliyasufieva
  • Вопрос задан 3 года назад

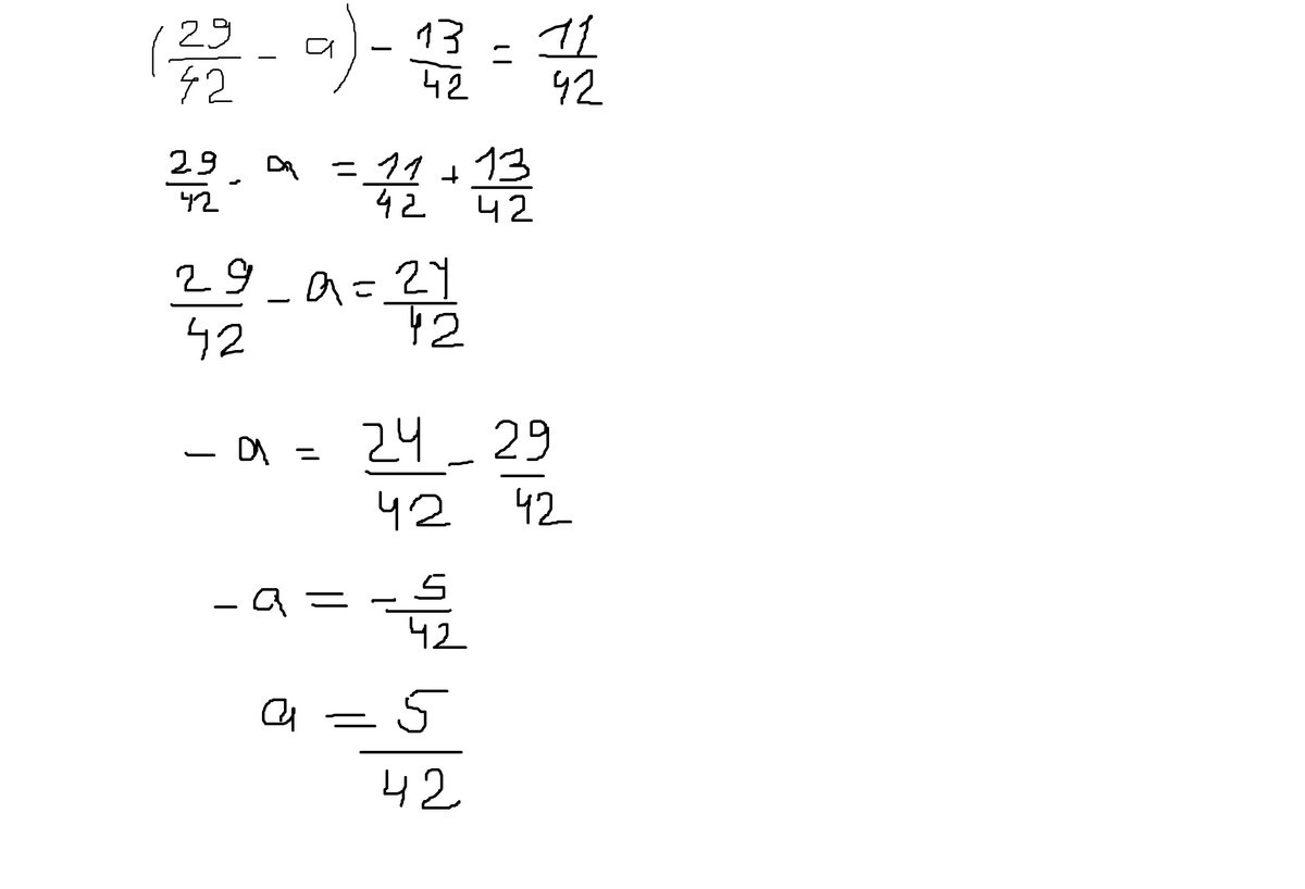
(29/42-а)-13/42=11/42 решите уравнение!


aliyasufieva: в интернете можете не искать..

Ответы

Ответ дал: Prosto145
10
что не ясно, пиши.
:))
Приложения:

aliyasufieva: Спасибооо!!!!!
Prosto145: обращайся)
Вас заинтересует