• Предмет: Алгебра
  • Автор: Милькаа
  • Вопрос задан 11 лет назад

Задание 130 и 131 помогите сколько смочите пожалусто 

Приложения:

Ответы

Ответ дал: Qwera11
0

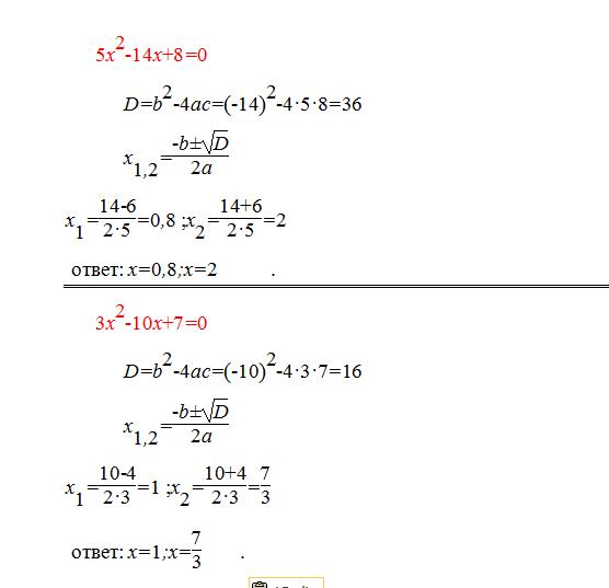
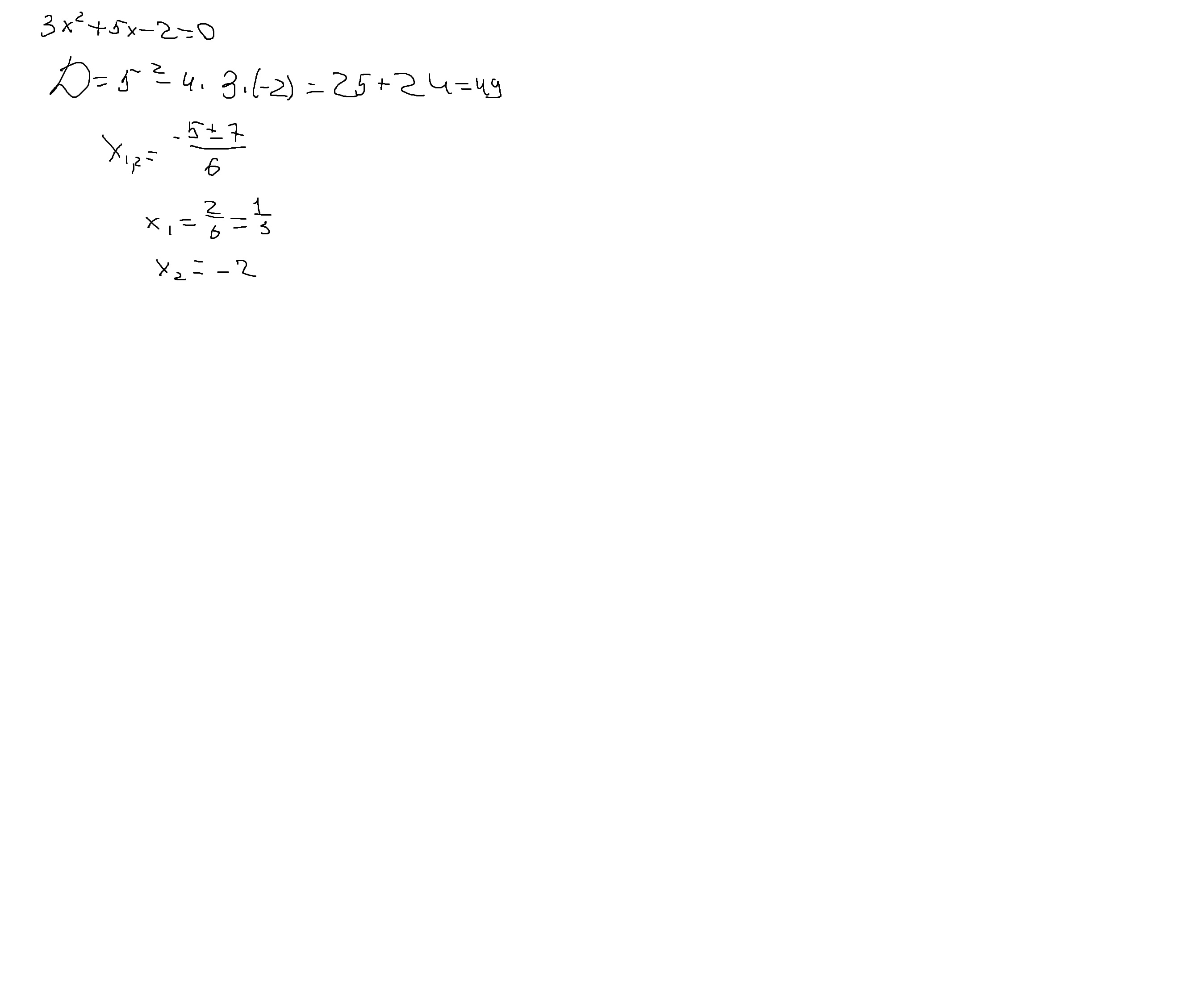
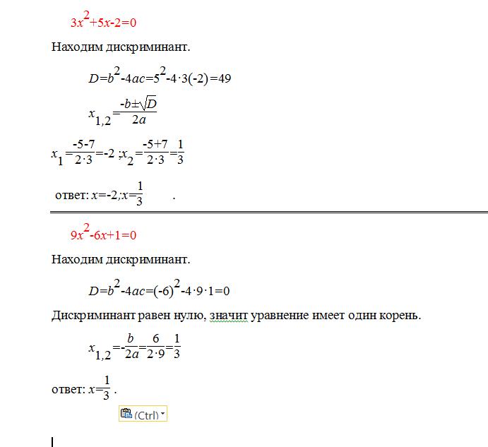
вот первое  сейчас остальные попробую

 

 

 

во втором дискриминант равен нулю

 

Приложения:
Ответ дал: triolana
0

==========================================================

Приложения:
Вас заинтересует