• Предмет: Алгебра
  • Автор: danolih
  • Вопрос задан 10 лет назад

Решите плиз.Только не просто ответ,а подробно
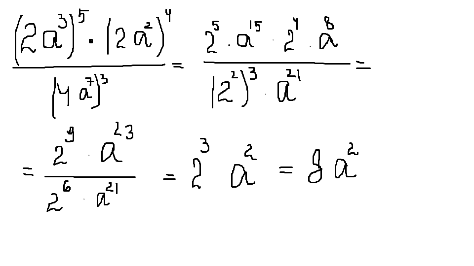
(2a^3)^5*(2a^2)^4 / (4a^7)^3

/ - ДРОБЬ

Ответы

Ответ дал: nzgrf
0
Вроде подробно написала. 
Приложения:
Вас заинтересует