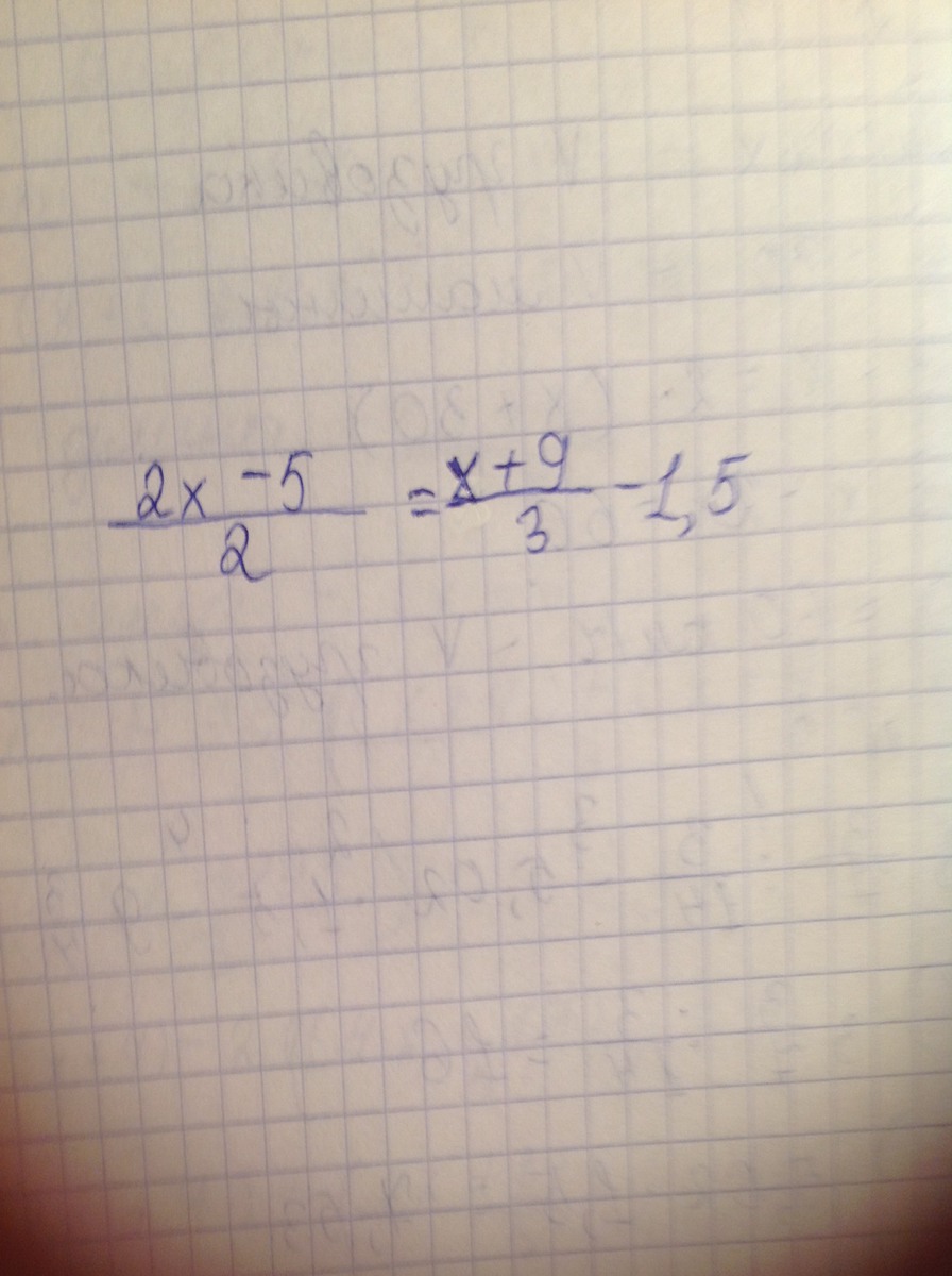
Решите уравнение:
2х-5/2=х+9/3-1,5
Вот на всякий случай:
Заранее спасибо)
МНЕ СРОЧНОО!))
Приложения:

Ответы
Ответ дал:
3
смотри прикреплённые файлы
Приложения:

Jkrina:
спасибо)))
Вас заинтересует
2 года назад
2 года назад
2 года назад
7 лет назад
7 лет назад
9 лет назад