• Предмет: Алгебра
  • Автор: Люля18
  • Вопрос задан 11 лет назад

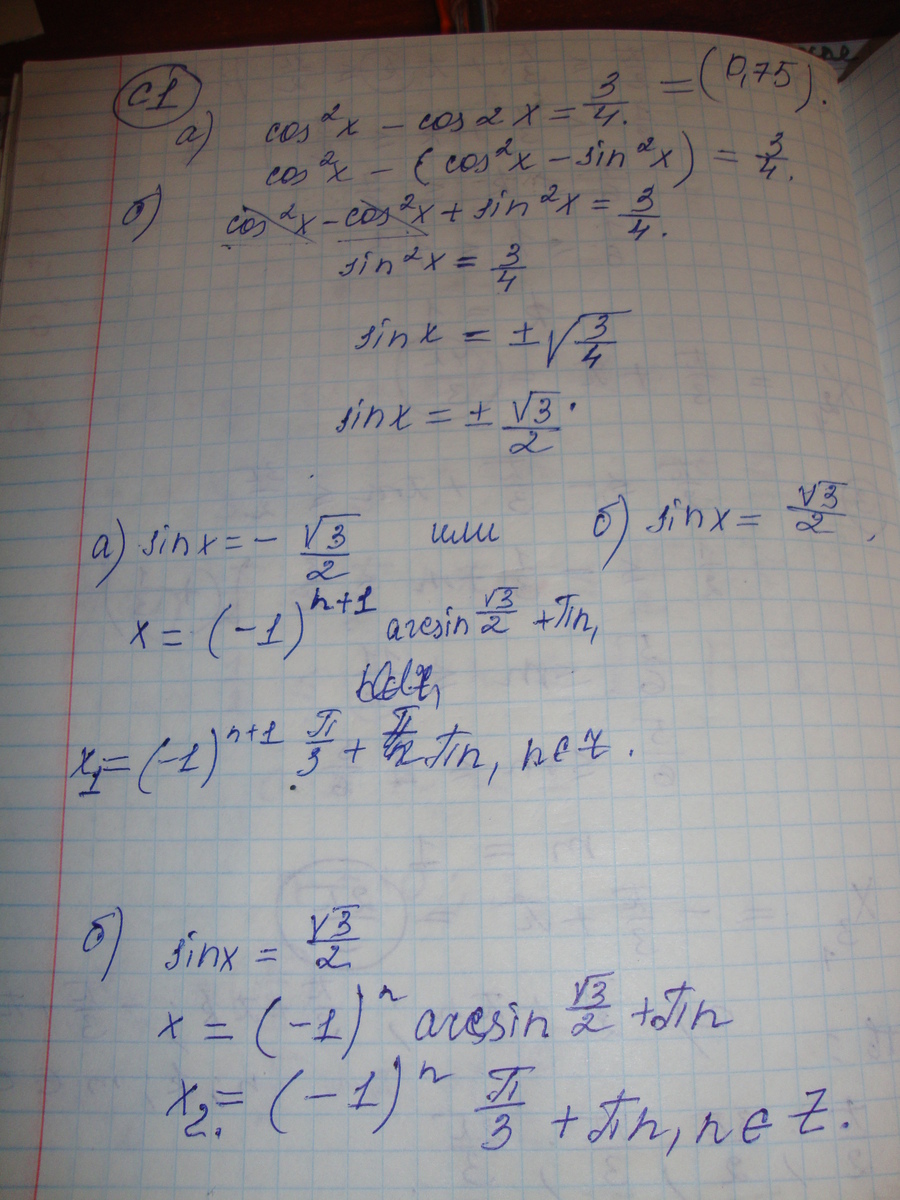
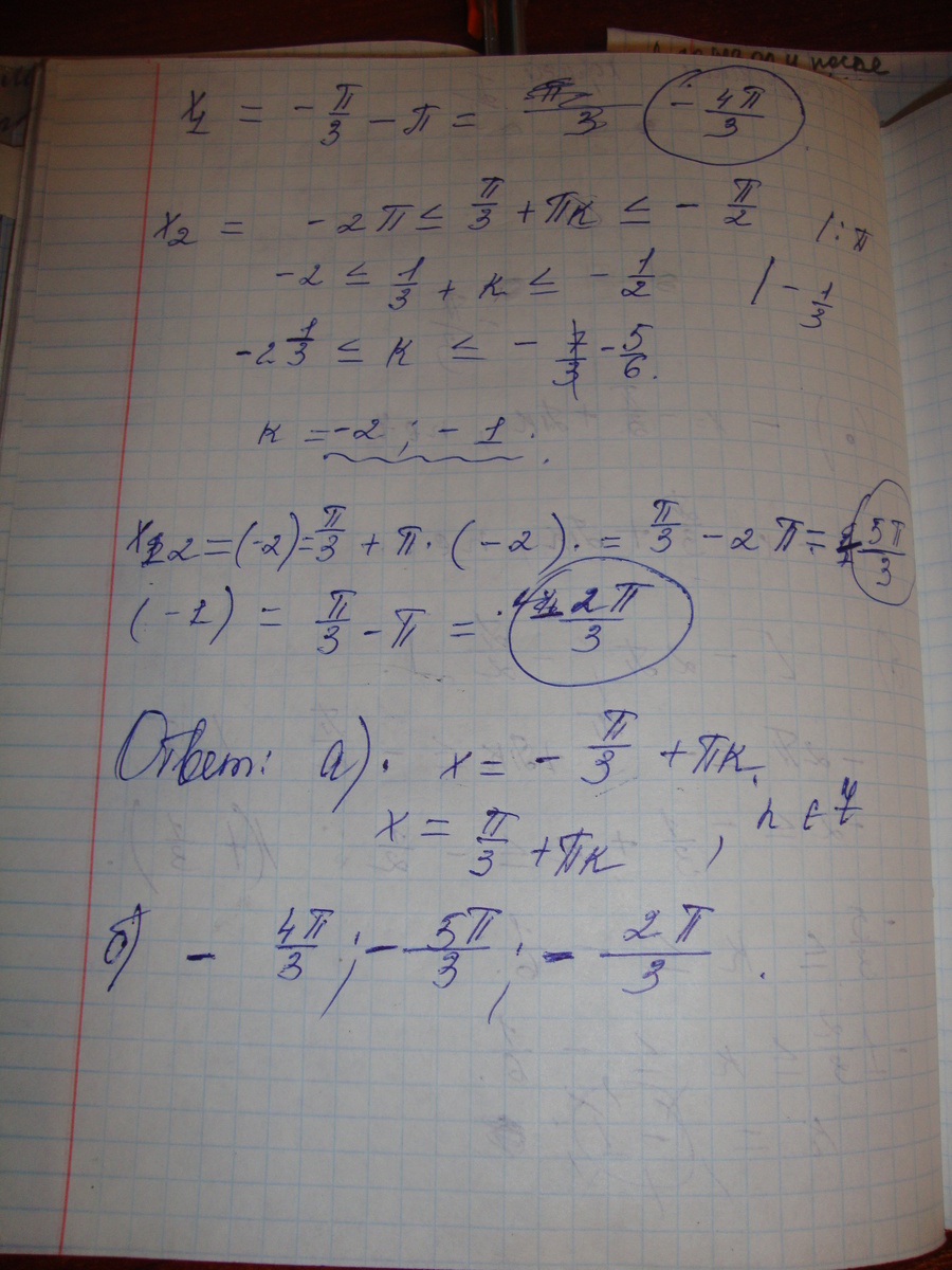
Решить уравнение: cos^2x-cos2x=0,75

и найти все корни, принадлежащие промежутку [-2П;-П/2] 

Ответы

Ответ дал: ctrnjh
0

я уже такое уравнение решала скину фото, а то лень переписывать=)))

 Все понятно я надеюсь?! у меня кстати все оч подробно расписано!

Приложения:
Вас заинтересует