• Предмет: Алгебра
  • Автор: sasha271321
  • Вопрос задан 10 лет назад

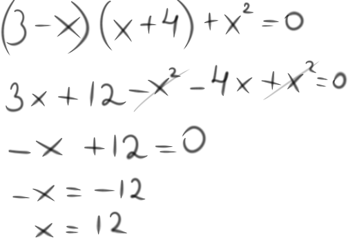
помогите решить пожалуйста (3-x)(x+4)+x во второй степени =0

Ответы

Ответ дал: КаориУчиха
0
11111111111111111111111111111111111111111111111111111111111
Приложения:
Вас заинтересует