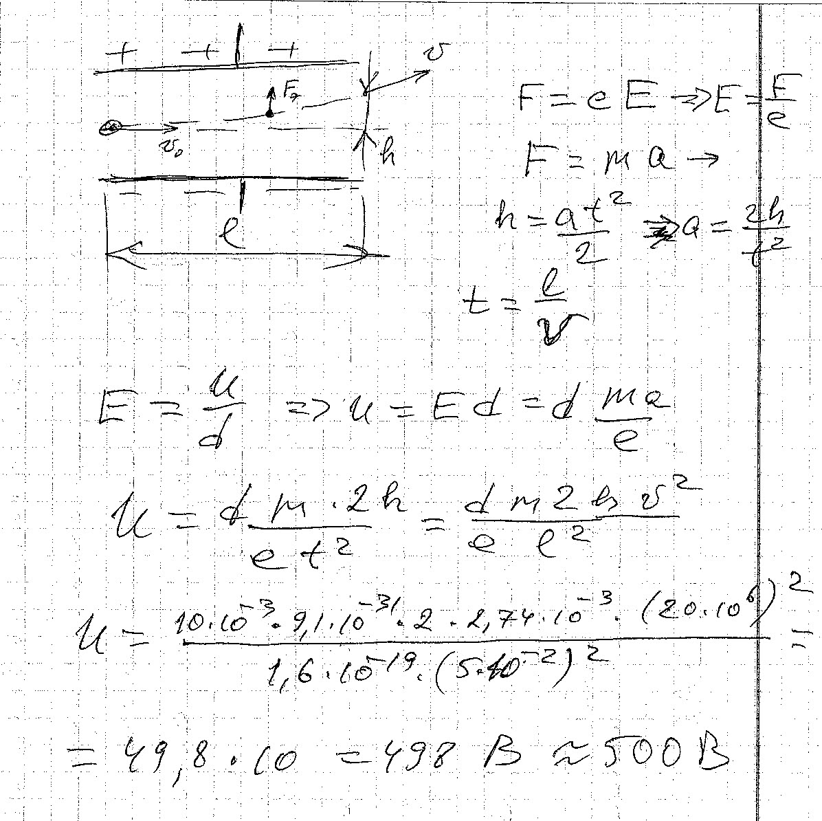
1.6 Электрон влетает в плоский конденсатор параллельно пластинам со скоростью V. Расстояние между платинами конденсатора d, длина пластин l. На пластины подано постоянное напряжение U. К моменту вылета из конденсатора электрон смещается от начального направления на расстояние h под действием силы напряжения. Найти неизвестные величины:
V= 20*10^6 м/c
d= 10мм
l= 5см
U- ?B
h= 2,74мм
Ответы
Ответ дал:
0
смотри картинку.............
Приложения:
Вас заинтересует
3 года назад
3 года назад
8 лет назад
8 лет назад
10 лет назад
10 лет назад
11 лет назад