• Предмет: Алгебра
  • Автор: Dvoechnik2001
  • Вопрос задан 10 лет назад

помогите решить срочно, только распишите по действиям

Приложения:

Ответы

Ответ дал: Yena
0
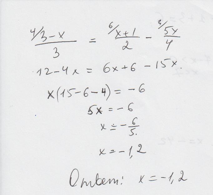
 frac{3-x}{3}= frac{x+1}{2}-frac{5x}{4}  \  \  frac{4(3-x)}{12}= frac{6(x+1)}{12}-frac{3cdot5x}{12} \  \  12-4x= 6x+6-15x \  \ -4x-6x+15x=6-12 \  \ 5x=-6 \  \ x=-6:5 \  \ x=-1,2
Ответ дал: belcatya
0
-1,2
Ответ дал: belcatya
0
решение в приложении
Приложения:
Вас заинтересует