• Предмет: Алгебра
  • Автор: kovalenkoonly
  • Вопрос задан 10 лет назад

Забыла,как вычислять интегралы..
можете помочь?и объяснить что за чем?

Приложения:

Ответы

Ответ дал: sumerki213
0
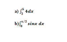
Сначала находишь первообразную рядом с ней рисуешь вертикальную прямую и устанавливаешь пределы,затем подставляешь в первообразную значение верхнего числа и из этого вычитаешь значение нижнего.
Например: (твой первый интеграл от 2 до 5 от 4 по dx=4x|сверху 5 снизу 2=4*5-4*2=20-8=12
Ответ дал: sumerki213
0
или написать,как решать?
Ответ дал: sumerki213
0
хорошо)
Ответ дал: kovalenkoonly
0
может можно мне помочь и в этом вопросе? http://znanija.com/task/10373366 пожалуйста)
Ответ дал: sumerki213
0
я с телефона..не могу по ссылке перейти(
Ответ дал: kovalenkoonly
0
эхх
Вас заинтересует