Ответы
Ответ дал:
0
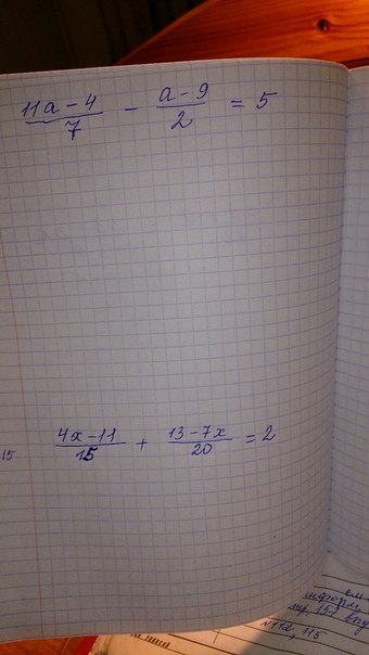
1)22a-8-7a+63=70
15a+55=70
15a=15
a=1
2)16x-44+39-21x=120
-5x=125
x=-25
3)6-36x-2x-19=92-8x
-30x=105
x=-3.5
4)27x+54-42x+84=2x+2
165-15x=2x+2
-17x=-163
x=девять целых десять семнадцатых
15a+55=70
15a=15
a=1
2)16x-44+39-21x=120
-5x=125
x=-25
3)6-36x-2x-19=92-8x
-30x=105
x=-3.5
4)27x+54-42x+84=2x+2
165-15x=2x+2
-17x=-163
x=девять целых десять семнадцатых
Ответ дал:
0
а можешь сделать остальные! пожалуйсто
Ответ дал:
0
лан,если времени хватит
Ответ дал:
0
мне нужно срочно если сделаешь расцилую
Ответ дал:
0
последнее проверь (подсчет)
Ответ дал:
0
я мог посчитать второпях неправильно
Ответ дал:
0
22a-8-7a+63=70
22a-7a=70+8-63
15a=15/:15
a=1
22a-7a=70+8-63
15a=15/:15
a=1
Ответ дал:
0
это у меня есть мне последние две фотки
Ответ дал:
0
нужны
Вас заинтересует
3 года назад
3 года назад
8 лет назад
10 лет назад
10 лет назад
11 лет назад