Ответы
Ответ дал:
0
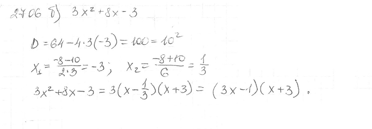
3x²+8x-3=3(x+3)(x-1/3)=(x+3)(3x-1)
D=64+36=100
x1=(-8-10)/6=-3
x2=(-8+10)/6=1/3
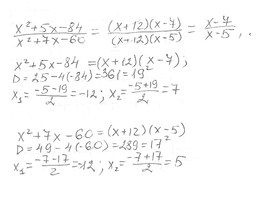
(x²+5x-84)/(x²+7x-60)=(x+12)(x-7)/(x+12)(x-5)=(x-7)/(x-5)
x²+5x-84=0
x1+x2=-5 U x1*x2=-84
x1=-12 U x2=7
x²+7x-60=0
x1+x2=-7 U x1*x2=-60
x1=-12 U x2=5
D=64+36=100
x1=(-8-10)/6=-3
x2=(-8+10)/6=1/3
(x²+5x-84)/(x²+7x-60)=(x+12)(x-7)/(x+12)(x-5)=(x-7)/(x-5)
x²+5x-84=0
x1+x2=-5 U x1*x2=-84
x1=-12 U x2=7
x²+7x-60=0
x1+x2=-7 U x1*x2=-60
x1=-12 U x2=5
Ответ дал:
0
спасибо))))
Ответ дал:
0
вариант решения во вложении, надеюсь написано понятно)
Приложения:
Ответ дал:
0
спасибо
Вас заинтересует
2 года назад
8 лет назад
8 лет назад
10 лет назад
11 лет назад