• Предмет: Математика
  • Автор: Амангельдиева
  • Вопрос задан 10 лет назад

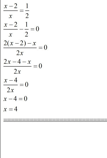
решите равенства x-2/x=1/2

Ответы

Ответ дал: fardausi28
0
4-2/4=1/2 там замени и все
Ответ дал: triolana
0
=========================================
Приложения:
Вас заинтересует