• Предмет: Алгебра
  • Автор: ann735
  • Вопрос задан 10 лет назад

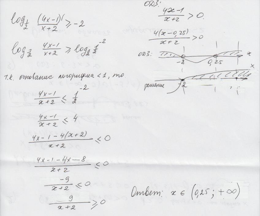
Решите неравенство
log по основанию 1/2 от (4x-1)/(x+2)>=-2

Ответы

Ответ дал: belcatya
0
решение в приложении:
Приложения:
Ответ дал: ann735
0
В ответе x>1/4
Ответ дал: belcatya
0
нашла ошибку, сейчас перезалью!
Ответ дал: belcatya
0
новое решение в приложении
Вас заинтересует