Ответы
Ответ дал:
0
a)(3a+4)^2-10a-(a-4)(4+a)=9a^2+24a+16-10a-4a-a^2+16-4a=8a^2+6a
Ответ дал:
0
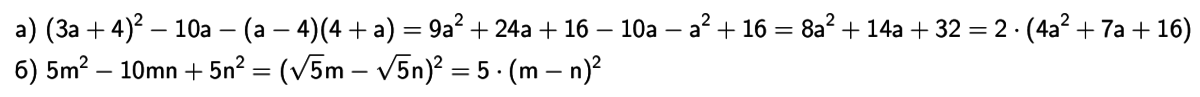
Смотрите решение в прикреплённом файле.
Приложения:

Вас заинтересует
2 года назад
7 лет назад
7 лет назад
10 лет назад
10 лет назад
10 лет назад