• Предмет: Алгебра
  • Автор: tarvova2
  • Вопрос задан 10 лет назад

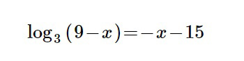
Ребята решите пожалуйста задание, очень прошу, задание на картинке.

Приложения:

Ответы

Ответ дал: dnepr1
0
Так как 3 в любой степени не может дать отрицательное число, то х должен быть меньше, чем -15.
Решение: х = -18.
Тогда 3^(-(-18)-15) = 3³ = 27.
9 - (-18) = 9 + 18 = 27.
Вас заинтересует