• Предмет: Алгебра
  • Автор: gerasimenkoasy
  • Вопрос задан 10 лет назад

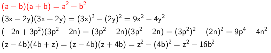
Выполните умножение:1)(3x-2y) (3x+2y)
2)(-2n+3p²) (3p²+2n)
3)(z-4b) (4b+z)

Ответы

Ответ дал: SkyBy
0
Смотрите решение в прикреплённом файле.
Приложения:
Вас заинтересует