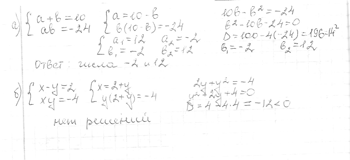
Существуют ли два числа,таких,:
а) их сумма равно 10,произведение равно -24
б) их разность равна 2,а произведение -4
Ответы
Ответ дал:
0
решить такие примеры можно системой уравнений. Вариант решения во вложении
а) такие числа существуют, это -2 и 12
б) таких чисел невозможно подобрать
а) такие числа существуют, это -2 и 12
б) таких чисел невозможно подобрать
Приложения:

Ответ дал:
0
Спасибо большое))
Вас заинтересует
2 года назад
2 года назад
7 лет назад
10 лет назад