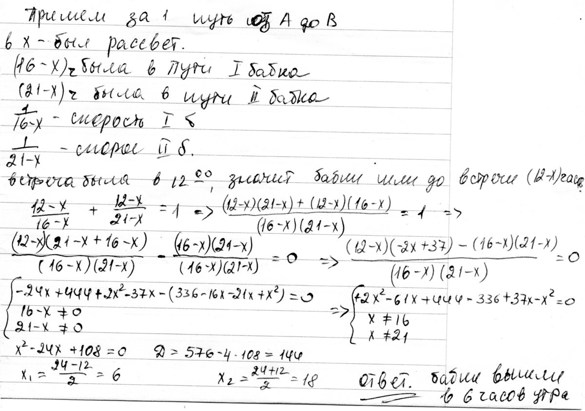
две старушки вышли одновременно на рассвете навстречу друг другу , первая из пункта А ,вторая из пункта В. они встретились в 12 00 и пошли дальше ,не останавливаясь, каждая с той же ,своей скоростью.в 16 00 первая старушка пришла в пункт В, а в 21 00 вторая старушка пришла в пункт А.в котором часу был рассвет?
Ответы
Ответ дал:
0
решение в подвешенном файле)))))))))))))))
Приложения:

Вас заинтересует
2 года назад
2 года назад
8 лет назад
8 лет назад
10 лет назад
10 лет назад
10 лет назад