Ответы
Ответ дал:
0
Решается через дискриминант
Приложения:

Ответ дал:
0
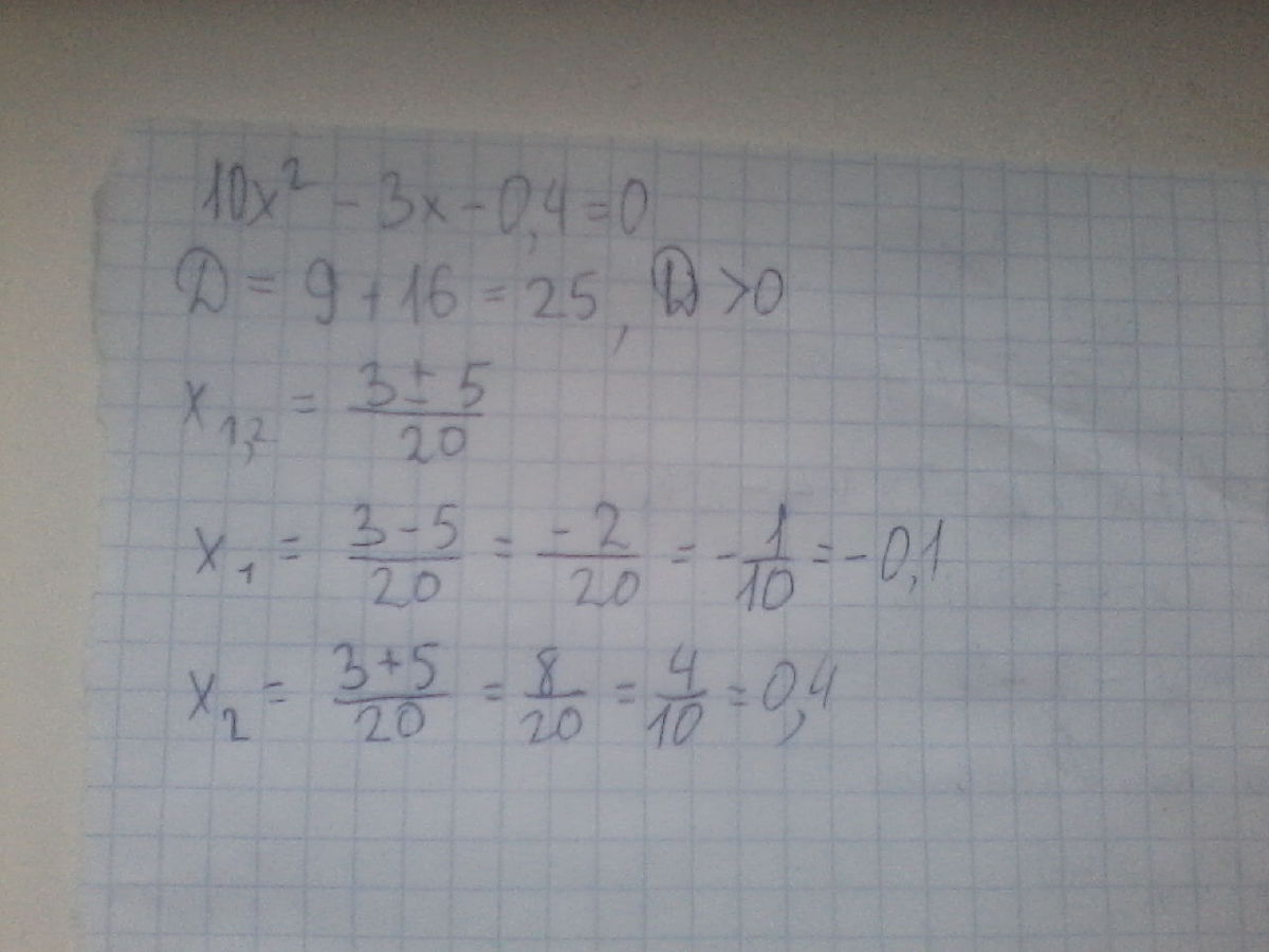
D = под корнем 9 + 4 * 10 * 0.4 = под корнем 9 + 16 = 25 = 5
х1 = (3 + 5 ) 2 * 10 = 820 = 25
х 2 = (3 -5 ) 2*10 = - 1 10
х1 = (3 + 5 ) 2 * 10 = 820 = 25
х 2 = (3 -5 ) 2*10 = - 1 10
Приложения:

Ответ дал:
0
так и есть я просто не перевела в десятичные
Вас заинтересует
2 года назад
2 года назад
7 лет назад
7 лет назад
10 лет назад
10 лет назад