• Предмет: Физика
  • Автор: Лаура99
  • Вопрос задан 11 лет назад

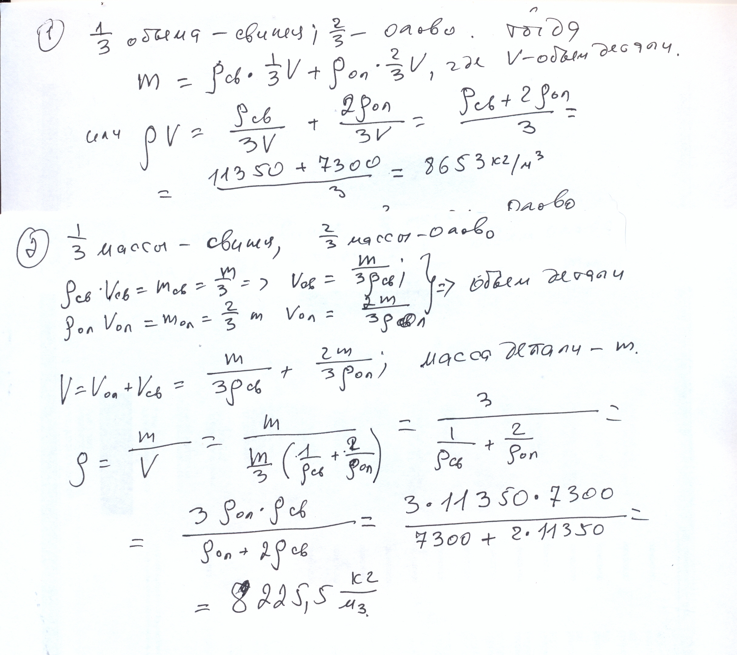
Некая деталь на 1/3 сделана из свинца, на 2/3 - из олова. Какова средняя плотность материала, из которого сделана деталь? Помогите пожалуйста.

Ответы

Ответ дал: ужнеужели
0

Задачка не так проста, как кажется. Здесь возможны два варианта

1. Сделана на 1/3 массы из свинца и тд

2. Сделана на 1/3 объема из свинца

Второй вариант мне кажется более разумным. Оба решения ниже

Приложения:
Вас заинтересует