• Предмет: Математика
  • Автор: machrenskybori
  • Вопрос задан 10 лет назад

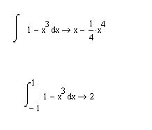
вычислите площадь фигуры ,ограниченной линиями у=1-х^3, у=0,х=-1

Ответы

Ответ дал: volic
0
Найдём точку пересечения с осью x
1-x^3=0
x=1
дальнейшее решение во вложении
Приложения:
Вас заинтересует