Ответы
Ответ дал:
0
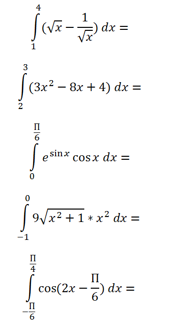
1)=2/3*√x³-2√x=16/3-4-2/3+2=8/3
2)=x³-4x²+4x=27-36+12-8+16-8=3
3)sinx=t⇒cosxdx=dt
=
4)=1/2*sin(2x-π/6)=1/2sinπ/3-1/2sin(-π/2)=1/2*√3/2-1/2*(-1)=√3/2+1/2
2)=x³-4x²+4x=27-36+12-8+16-8=3
3)sinx=t⇒cosxdx=dt
=
4)=1/2*sin(2x-π/6)=1/2sinπ/3-1/2sin(-π/2)=1/2*√3/2-1/2*(-1)=√3/2+1/2
Вас заинтересует
3 года назад
3 года назад
8 лет назад
10 лет назад
11 лет назад
11 лет назад