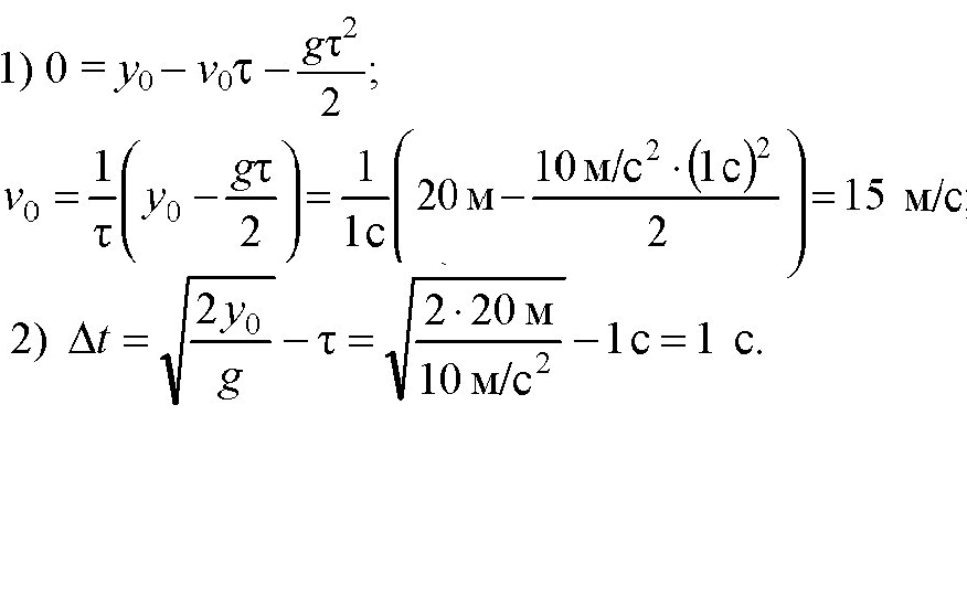
Какую начальную скорость надо сообщить камню при бросании его вертикально вниз с моста высотой 20 м,чтобы он достиг поверхности воды через 1 с? На сколько дольше длилось бы падение камня с этой же высоты при отсутствии начальной скорости?
Ответы
Ответ дал:
0
вот держи) Удачной учёбы)
Приложения:

Вас заинтересует
2 года назад
2 года назад
8 лет назад
8 лет назад
10 лет назад
10 лет назад
10 лет назад