Памогите решить логорифмическое уровнение само уровнение на картинке если можете конечно.
Приложения:

Ответы
Ответ дал:
0
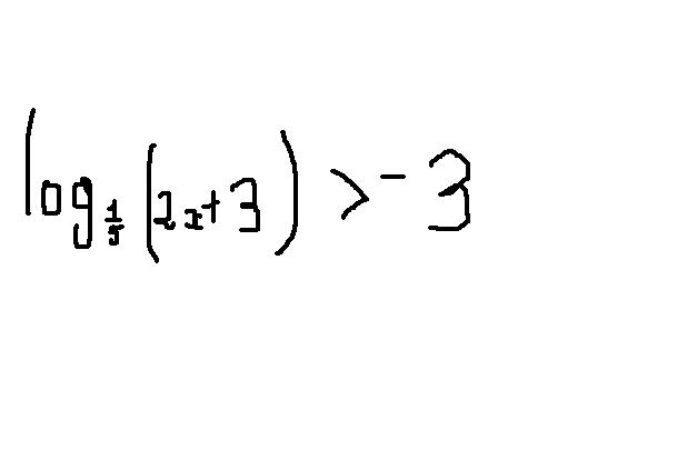
ОДЗ:
- убывающая
Ответ: (-1,5; 61)
Вас заинтересует
2 года назад
2 года назад
8 лет назад
8 лет назад
10 лет назад
10 лет назад
10 лет назад