Ответы
Ответ дал:
0
решение смотри на фотографии
Приложения:

Ответ дал:
0
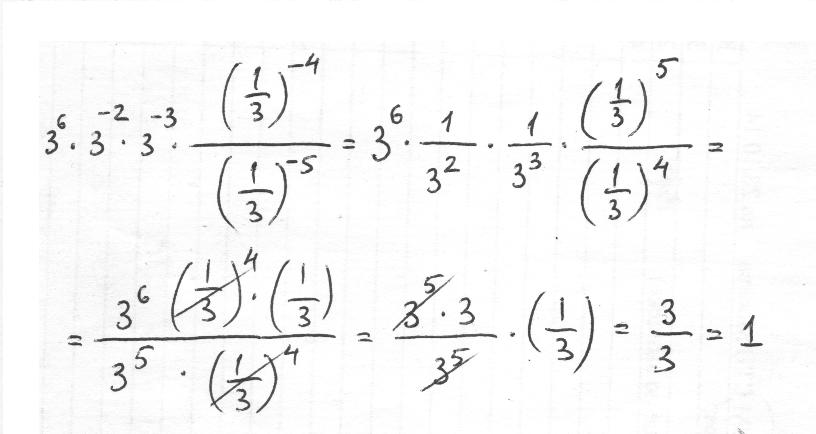
Ответ =1. Решение смотрите во вложении.
Приложения:

Ответ дал:
0
Благодарю!!!
Вас заинтересует
2 года назад
2 года назад
7 лет назад
7 лет назад
10 лет назад
10 лет назад
10 лет назад