• Предмет: Алгебра
  • Автор: Аноним
  • Вопрос задан 10 лет назад

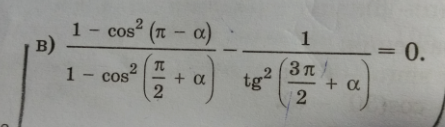
срочно пожалуйста докажите тождество (заранее спасибо)

Приложения:

Ответы

Ответ дал: Лотарингская
0
 dfrac{1-cos^2(pi - alpha )}{1-cos^2( frac{pi}{2}  +alpha )} - dfrac{1}{tan^2( frac{3pi}{2} + alpha) } = dfrac{sin^2(pi- alpha )}{sin^2( frac{pi}{2}  +alpha )} -dfrac{1}{cot^2 alpha }=\\\= dfrac{sin^2 alpha }{cos^2 alpha } -tan^2 alpha =tan^2 alpha -tan^2 alpha =0
Вас заинтересует