Ответы
Ответ дал:
0
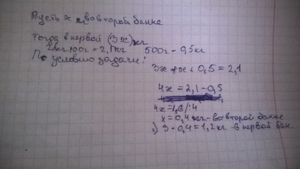
В граммах: в первой банке:1200г
во второй банке:400г
во второй банке:400г
Приложения:

Вас заинтересует
2 года назад
2 года назад
7 лет назад
10 лет назад
10 лет назад
10 лет назад