• Предмет: Алгебра
  • Автор: Черя
  • Вопрос задан 11 лет назад

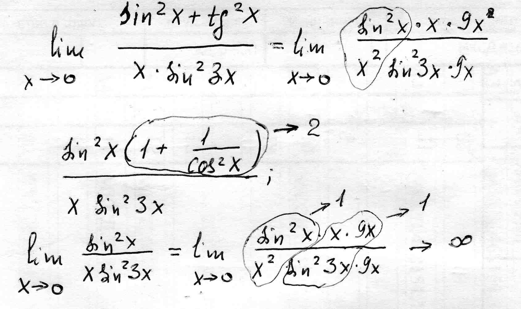
Вычислить предел не используя правило Лопиталя

lim (1-cos2x+tgx*tgx)/(x*sin3x*sin3x)

x->0

Ответы

Ответ дал: Гоша68
0

тут что с Лопиталем, что без предел равен бесконечности.

Приложения:
Вас заинтересует