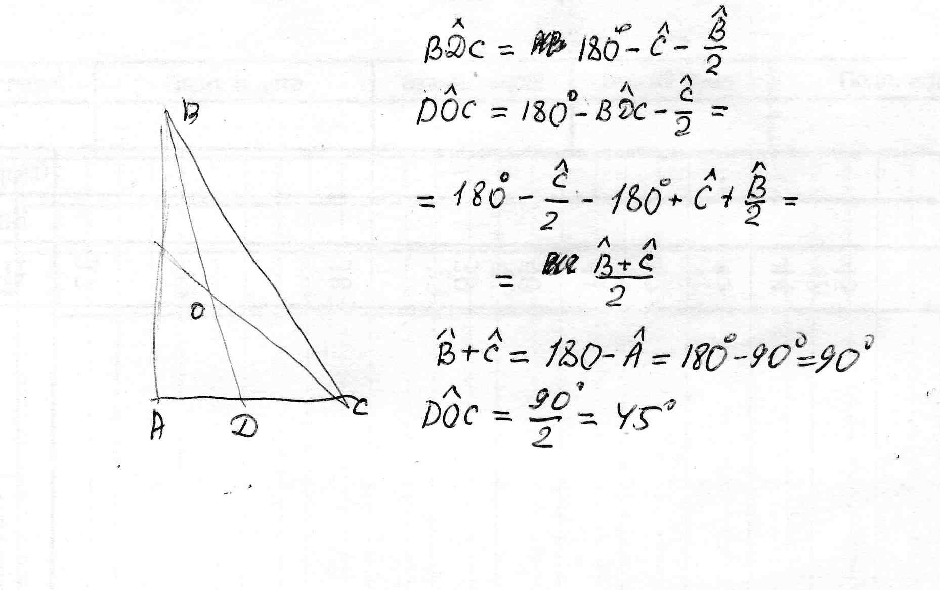
докажите, что биссектрисы острых углов прямоугольного треугольника при пересечении образуют угол 45 градусов
Ответы
Ответ дал:
0
...............решение разместил в файле.
Приложения:

Вас заинтересует
2 года назад
8 лет назад
10 лет назад
10 лет назад
10 лет назад