Ответы
Ответ дал:
0
исходное не пишу
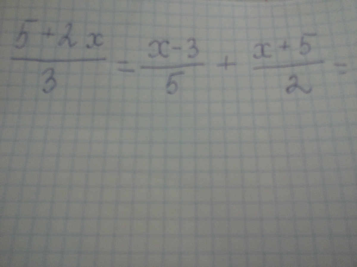
приводим к общему знаменателю (30) и домножаем на него все части уравнения
50+20х=6х-18+15х+75
20х-6х-15х=75-18-50
-х=7
х=-7
приводим к общему знаменателю (30) и домножаем на него все части уравнения
50+20х=6х-18+15х+75
20х-6х-15х=75-18-50
-х=7
х=-7
Ответ дал:
0
приводим к общему знаменателю 10 получается
25х+10х=2х-6+5х+25
10х-2х-5х=-6
3х=-6
х=-3
25х+10х=2х-6+5х+25
10х-2х-5х=-6
3х=-6
х=-3
Вас заинтересует
3 года назад
3 года назад
8 лет назад
10 лет назад
10 лет назад
11 лет назад