Ответы
Ответ дал:
0
15)
1) да верно,
2) не верно, не более 12 метров
3) не верно, менее 4 сек
4) да верно
20) решение в приложении:
1) да верно,
2) не верно, не более 12 метров
3) не верно, менее 4 сек
4) да верно
20) решение в приложении:
Приложения:

Ответ дал:
0
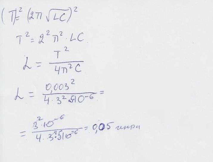
По заданию надо не период, а индуктивность найти!!!
Ответ дал:
0
сейчас исправлю:-)
Ответ дал:
0
11) ВЕ = АВ = 30, так как треугольник АВЕ равнобедренный (углы в основании по 45°).
ЕС = √(34²-30²) = √(1156-900) = √256 = 16
АД = ВС = 30+16 = 46.
20)
Гн
ЕС = √(34²-30²) = √(1156-900) = √256 = 16
АД = ВС = 30+16 = 46.
20)
Приложения:

Ответ дал:
0
А можете, пожалуйста, помочь мне с этим заданием? В геометрической прогрессии разность второго и первого членов равна 48, а разность третьего и второго равна 240. Найдите сумму первых трёх членов этой прогрессии.
Ответ дал:
0
Составляем систему двух уравнений по заданию: a1(q-1)=48 и a1q(q-1) = 240. Делим второе на первое и получаем q = 240/48 = 5. Находим а1 = 48/(5-1) = 48/4 = 12. Отсюда
Ответ дал:
0
третий член равен 12*25 = 300, а сумма 3 членов 12+60+300 = 372
Вас заинтересует
2 года назад
7 лет назад
10 лет назад
10 лет назад