• Предмет: Алгебра
  • Автор: ЯкРИВЕДКО
  • Вопрос задан 10 лет назад

Алгебра . 10 класс
Задание внутри
Помогите пожалуйста :с

Приложения:

Ответы

Ответ дал: Alexаndr
0
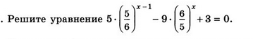
5*(frac{5}{6})^{x-1}-9*frac{6}{5}^x+3=0\6*frac{5}{6}^x-9*frac{6}{5}^x+3=0;frac{5}{6}^x=a;a>0\6a-frac{9}{a}+3=0|*frac{a}{3}\2a^2-3+a=0\2a^2+a-3=0\a_{1,2}=frac{-1^+_-5}{4}\a_1=-frac{3}{2};  a_2=1\.            frac{5}{6}^x=1\.             x=0
Вас заинтересует