• Предмет: Алгебра
  • Автор: Kernich
  • Вопрос задан 10 лет назад

Решить уравнение/Розв'язати рівняння

Приложения:

Ответы

Ответ дал: bearcab
0
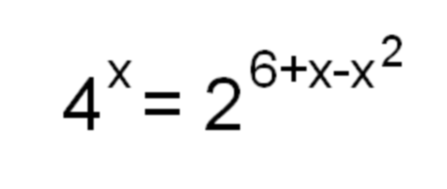
4^x=2^{6+x-x^2}

(2^2)^x=2^{6+x-x^2}

2^{2x}=2^{6+x-x^2}

Теперь сравниваем только степени. Так как основание уже одинаково

2x=6+x-x^2

2x-6-x+x^2=0

x-6+x^2=0

x^2+x-6=0

D=1^2-4*1*(-6)=1+24=25=5^2

x_{1,2}=frac{-1pm 5}{2}


x_{1}=frac{-1- 5}{2}      x_{2}=frac{-1+5}{2}

x_{1}=frac{-6}{2}            x_{2}=frac{4}{2}

x_{1}=-3                    x_{2}=2

Ответ: x_{1}=-3,    x_{2}=2

Вас заинтересует