• Предмет: Алгебра
  • Автор: samodelkin
  • Вопрос задан 11 лет назад

Найти площадь фигуры, огрониченной линиями y=|x+3|-4 и y=2-|x-1| .

Ответы

Ответ дал: gevorg0001
0

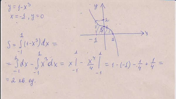
пожалуйста бири для тебя

Приложения:
Вас заинтересует