• Предмет: Математика
  • Автор: Аноним
  • Вопрос задан 10 лет назад

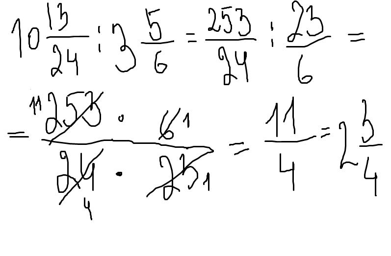
выполните действие 10 13/24 : 3 5/6 дам 20 балов в зарание спасибо

Ответы

Ответ дал: kenanashrafov
0
все здесь написано))
Приложения:
Вас заинтересует