• Предмет: Алгебра
  • Автор: КомОля
  • Вопрос задан 10 лет назад

 frac{ sqrt{2} }{2} +  frac{ sqrt{2} }{2}= ? КАК ЭТО СЛОЖИТЬ?

Ответы

Ответ дал: SkyBy
0
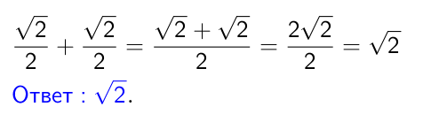
Смотрите решение в прикреплённом файле.
Приложения:
Ответ дал: КомОля
0
Спасибо! Я уже не помню как это делать.
Вас заинтересует