• Предмет: Математика
  • Автор: ВИ7
  • Вопрос задан 11 лет назад

(2-7х)(5+4х)=0решить уравнение. спасибо

Ответы

Ответ дал: Я16
0

10+8х-35х-28х^2=0
-28х^2-27х+10=0
Д= 739-4*(-28)*10=2659
х1=28+43/56=71/56
х2=28-43/56=15/56 

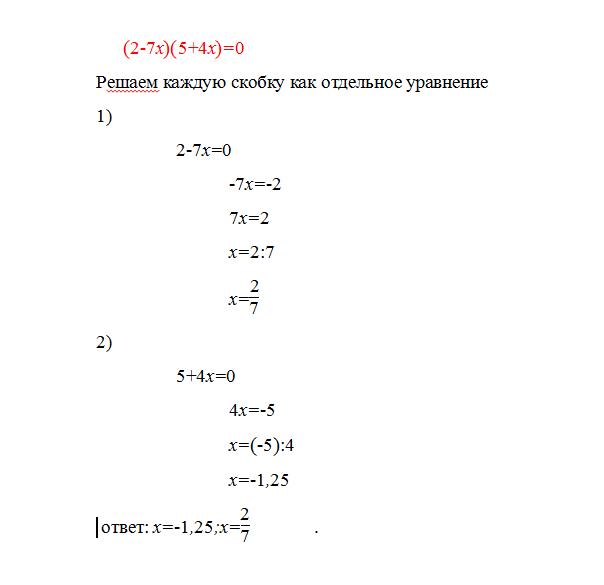
Ответ дал: triolana
0

=====================================

Приложения:
Вас заинтересует