• Предмет: Алгебра
  • Автор: МАрИйКа14
  • Вопрос задан 11 лет назад

...ПОМОГИТЕ С АЛГБЕРОЙ ПОЖАЛУЙСТА:).................................

Приложения:

Ответы

Ответ дал: Artem112
0

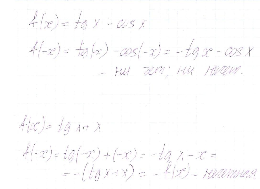
надеюсь поянтно будет...

там только тангенсоиды аккуратно надо рисовать а не как у меня

Приложения:
Вас заинтересует