• Предмет: Химия
  • Автор: Mashuta636
  • Вопрос задан 11 лет назад

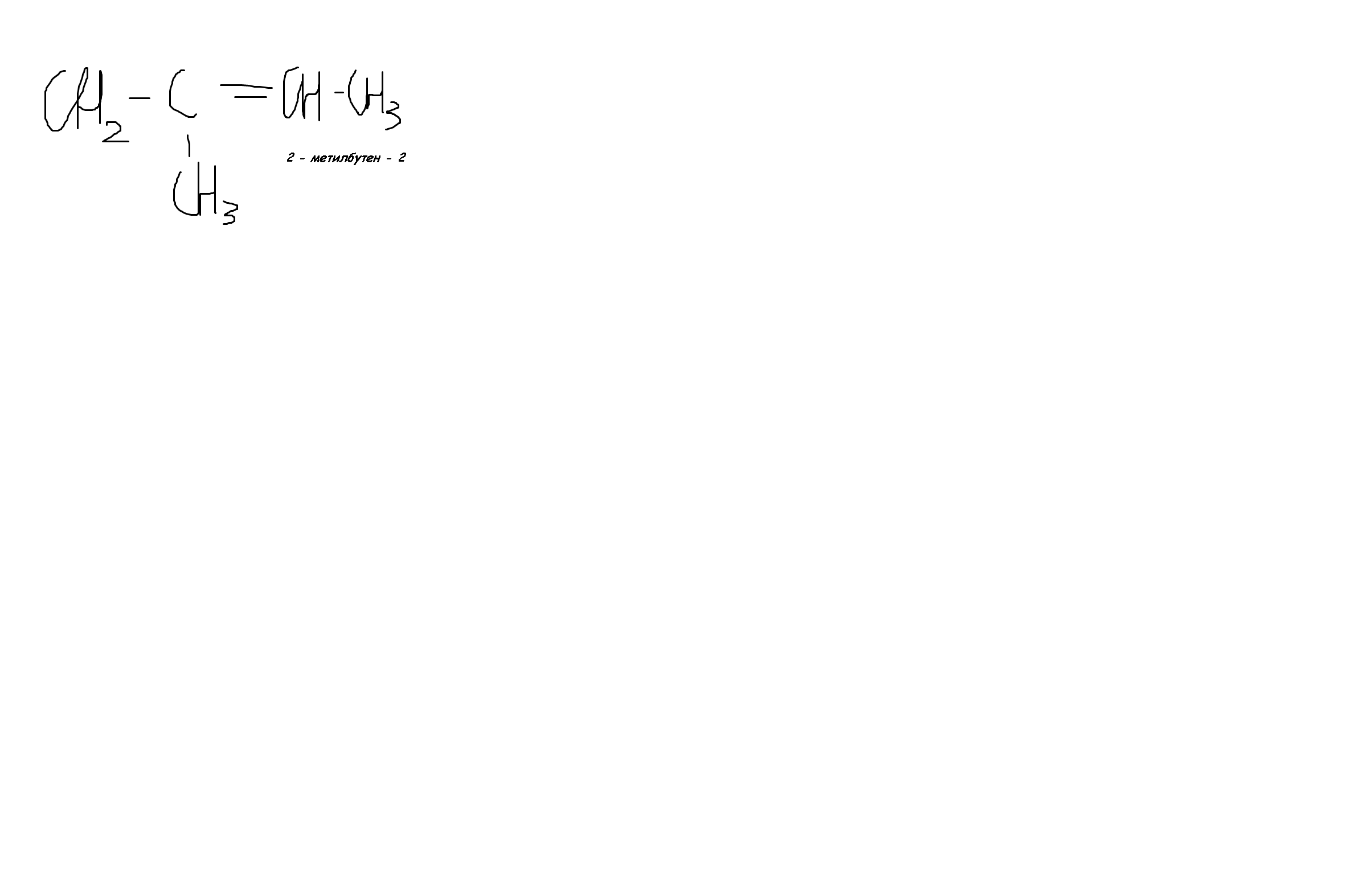
Составить все возможные гомологи и изомеры и назвать их для вещества CH2=CH-CH2-CH2-CH3

Ответы

Ответ дал: polinacher
0

СН3-СН=СН-СН2-СН3 пентен- 2 

 

 

Приложения:
Вас заинтересует