• Предмет: Алгебра
  • Автор: Elvin123321
  • Вопрос задан 10 лет назад

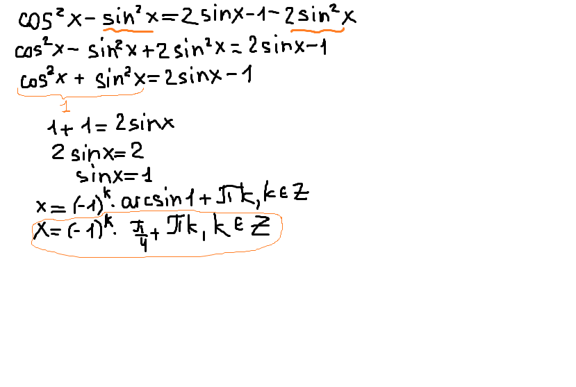
Решить уравнение
Cos^2(x)-sin^2(x)=2sin(x)-1-2sin^2(x)

Ответы

Ответ дал: 98niknat
0
Что не понятно, пишите! объясню!!
Приложения:
Ответ дал: Apofeoz
0
cos^2x-sin^2x=2sin x-1-2sin^2x,\cos^2x-sin^2x+1=2sin x-2sin^2x,\cos^2x-sin^2x+sin^2x+cos^2x+2sin^2x=2sin x,\2cos^2x+2sin^2x=2sin x,\2(cos^2x+sin^2x)=2sin x |:2,\sin x=1,\x=frac{pi}{2}+2pi n, nin Z.
Приложения:
Вас заинтересует