• Предмет: Алгебра
  • Автор: dream023
  • Вопрос задан 11 лет назад

помогите решить,мне не нужны сами ответы,мне нужно решение!!

Приложения:

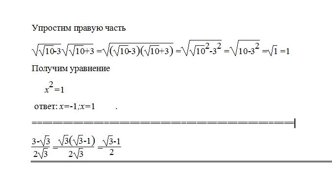
Ответы

Ответ дал: triolana
0

=================================================

Приложения:
Вас заинтересует