• Предмет: Геометрия
  • Автор: Simonovdenis87
  • Вопрос задан 10 лет назад

Геометрия 9 класс решите

Приложения:

Ответы

Ответ дал: VitoCarleone
0
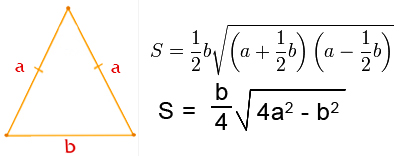
P=2a+b, Po formule S= 8÷4√4×5²-8²=2√100-64=2√36=12
Приложения:
Вас заинтересует